2022年上交复旦强基及中科大少创班试题和解答!北达中考复读学校教研组收集整理,分享给大家。
北达中考复读,外地回京全日制
★2022中考复读全日制,应届生全日制,外地回京全日制采取择优录取原则。
★招生班级:鸿志班、笃学班、翰林班
★招生对象:京籍全日制:中复生,京籍回京,初一至初二全日制
非京籍全日制:天津河北等省高考生,初一至初二全日制
★目 标:人大附中、北大附中、清华附中、四中等重点高中。
★师 资:多年沉淀海淀中考教师团队授课。
★上课形式:走读全日制,全封闭住宿全日制
★咨询电话:400-6168-182 010-62526900
我们今天给大家推送一篇2022年上交复旦强基试题和解答。以下内容均来自于学生回忆。
先看复旦的试题:

解答如下:


然后是交大的试题:

解答如下:



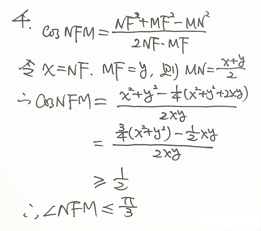
最后再给三道中科大少创班的试题


更多升学资讯,请扫码下载北达教育官网、中高考网APP, 咨询热线:400-6168182

