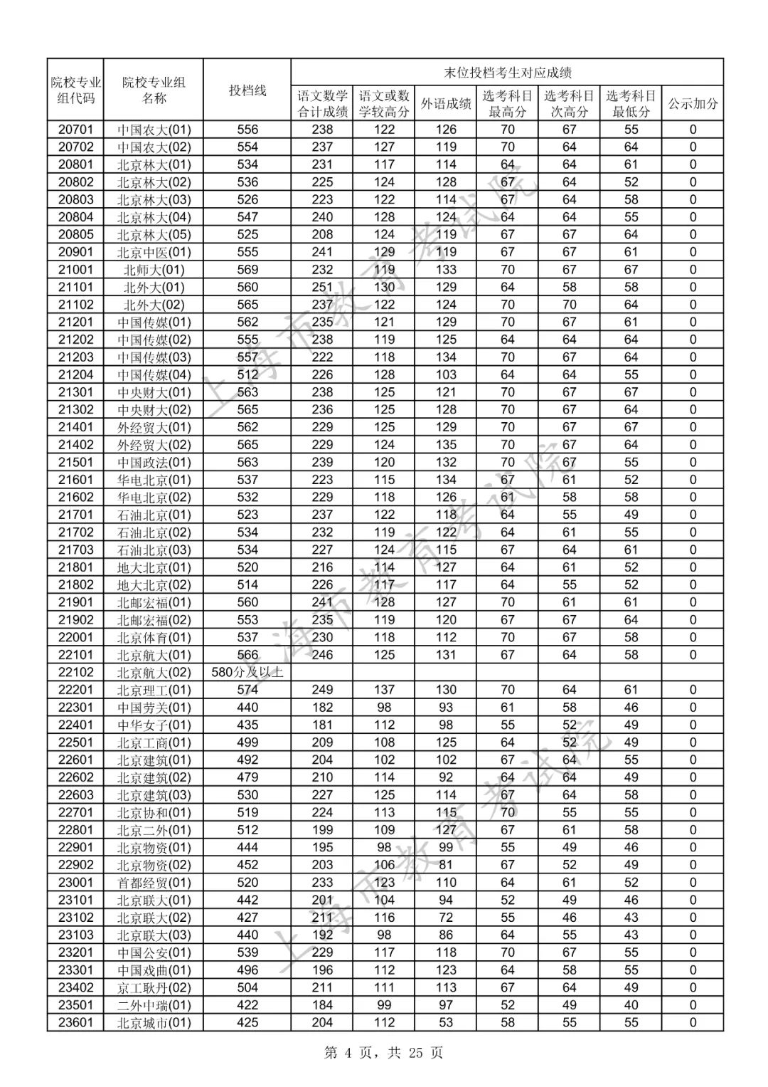
2022年上海市高考本科一批录取投档分数线发布,北京北达教研组整理了具体的分数,数据详情如下:
北达高复,回京,高一至高三应届全日制选拔通知
★京籍高考复读生,应届回京生,京籍高一至高三应届JD生,可办理学籍; 非京籍高一至高三应届JD生。
★招生班级:鸿志班、笃学班、翰林班
★招生对象
京籍全日制:高复生,京籍回京应届,高一至高高三应届JD生,可解决应届生学籍
非京籍全日制:外地高一至高二应届借读生
★目 标:北大清华等985,211院校
★师 资:海淀高中校长,教学管理,特邀海淀高考团队授课。
★上课地址
海淀校区:走读全日制为主
昌平校区:全封闭住宿军事化管理。
★咨询电话:400-6168-182 010-62526900
上海市2022年高考本科一批投档分数线



北京高考备考资料下载网入口>>>>>>>>>(点此进入)名校试题--试卷解析--最新试题--考点汇总--知识点讲解
试题推荐:

北达培优课程推荐:(报名热线:400-616818-2)

