2022年广东省高考录取分数线已公布,高考成绩一分一段表也同步发布。北京北达教研组为大家整理了相关内容,一起来看:
★招生班级:鸿志班、笃行班、翰林班
★招生对象:京籍全日制:高复生,京籍回京,高一至高二全日制
非京籍全日制:天津河北等省高考生,高一至高二全日制
★师 资:特聘海淀高中校长,教学管理,特邀海淀高考团队授课
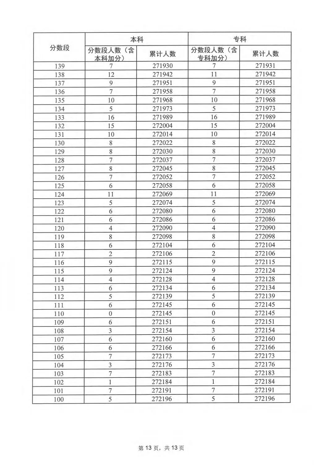
2022年广东高考历史组成绩一分一段表

北京高考备考资料下载网入口>>>>>>>>>(点此进入)名校试题--试卷解析--最新试题--考点汇总--知识点讲解
试题推荐:

北达培优课程推荐:(报名热线:400-616818-2)

